Software Validation Data Set

The purpose of this example is to two important test cases of data to validate the Neural Spike Analysis Toolbox.

Contents

Case #1: Constant Rate Poisson Process

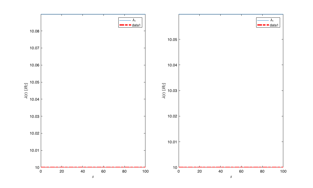
First we want to show that when neural firing activity is generated from a constant rate poisson process, the algorithm is able to estimate the value of this constant rate.

clear all;
close all;

p=0.01;         % bernoilli probability
N=100001;       % Number of coin flips
delta = 0.001;  % binsize
T=N*delta;      % total time window
lambda=N*p/T    % lambda*T = N*p

mu = log(lambda*delta/(1-lambda*delta))
lambda =

    10


mu =

   -4.5951

Now generate data for two neurons based on this constant rate

for i=1:2
    t=linspace(0,T,N);
    ind=rand(1,N)<p;     %generate the coin-flip indices for heads or 1's
    spikeTimes = t(ind); %get time spikes based on indices
    nst{i}=nspikeTrain(spikeTimes,'',delta); % create neuron spike train
    nst{i}.setMinTime(0);
    nst{i}.setMaxTime(T);
end

For a sanity check we can plot the ISI histogram for the two neurons and verify that they are exponentially distributed with \lambda = N*p/T;

nst{1}.plotISIHistogram;

Setup the analysis using the Neural Spike Analysis Toolbox Since we are going to try to fit a constant rate model, we create a baseline covariate that is constant and equal to 1 for the duration of the trial. This data in the covarate will be labeled 'constant';

spikeColl=nstColl(nst); %create a nstColl - a collection of spikeTrains
cov=Covariate(t,ones(length(t),1),'Baseline','s','','',{'mu'});
cc=CovColl({cov}); % Gather all the covariates
trial=Trial(spikeColl, cc); %Create the trial

% Specify how we want to perform the analysis
clear c;
sampleRate=1000;
%Try just using the 'constant' data from the baseline covariate
c{1} = TrialConfig({{'Baseline','mu'}},sampleRate,[],[]);
c{1}.setName('Baseline');
cfgColl= ConfigColl(c); %place desired configurations in a ConfigColl structure

Run the analysis

results = Analysis.RunAnalysisForAllNeurons(trial,cfgColl,0);
results{1}.plotResults; subplot(2,4,[5 6]); plot(mu,'ro', 'MarkerSize',10);
results{2}.plotResults; subplot(2,4,[5 6]); plot(mu,'ro', 'MarkerSize',10);
figure;
subplot(1,2,1);results{1}.lambda.plot; hold on; plot(results{1}.lambda.time,lambda*ones(length(results{1}.lambda.time),1),'r-.','LineWidth',3);
subplot(1,2,2);results{2}.lambda.plot; hold on; plot(results{2}.lambda.time,lambda*ones(length(results{2}.lambda.time),1),'r-.','LineWidth',3);
Analyzing Configuration #1: Neuron #1,2

Case #2: Piece-wise Constant Rate Poisson Process

Make a joint process be the sum of two independet and non-overlapping Poisson processes with different rates. During the first interval, only observer arrivals from process 1, and during the second interval only observe arrivals from the second process. Compare the results of estimate the complete process as the sum of two distinct independent and non-overlapping Poisson processes versus a single constant rate process.

% Process 1
p1=0.001; % bernoilli probability of process 1
N1=100000; %
delta = 0.001;
T1=N1*delta;
lambda1=N1*p1/T1    % lambda*T = N*p
mu1 = log(lambda1*delta/(1-lambda1*delta))
%Process 2
p2=0.01;  % bernoilli probability of process 1
N2=100000;
T2=N2*delta;
lambda2=N2*p2/T2    % lambda*T = N*p
mu2 = log(lambda2*delta/(1-lambda2*delta))

%Estimate of constant rate process:
lambdaConst = (N1*p1 + N2*p2)/(T1+T2)
muConst = log(lambdaConst*delta/(1-lambdaConst*delta))
lambda1 =

     1


mu1 =

   -6.9068


lambda2 =

    10


mu2 =

   -4.5951


lambdaConst =

    5.5000


muConst =

   -5.1975

Generate the data for 2 neurons

for i=1:2
    tTot = linspace(0,(T1+T2),(N1+N2+1));
    t1=tTot(tTot<=T1);
    ind1=rand(1,N1)<p1;
    spikeTimes1 = t1(ind1);
    t2=tTot(tTot>T1);
    ind2=rand(1,N2)<p2;
    spikeTimes2 = t2(ind2);
    tTot = [t1'; t2'];

    nst{i}=nspikeTrain([spikeTimes1 spikeTimes2],'',delta);
    nst{i}.setMinTime(0);
    nst{i}.setMaxTime(max(t2));
end

Generate the trial data;

spikeColl=nstColl(nst); %create a nstColl
cov=Covariate(tTot,[ones(length(tTot),1), tTot<=max(t1), tTot>max(t1)],'Baseline','s','','',{'muConst','mu1','mu2'});
cc=CovColl({cov});

% Specify how we want to perform the analysis
sampleRate=1000;
trial=Trial(spikeColl, cc);
clear c;
% Constant rate throughout
c{1} = TrialConfig({{'Baseline','muConst'}},sampleRate,[],[]);
c{1}.setName('Baseline');
% Constant rate for epoch1 and Constat rate for epoch2 but distinct
c{2} = TrialConfig({{'Baseline','mu1','mu2'}},sampleRate,[],[]);
c{2}.setName('Variable');
cfgColl= ConfigColl(c);

Run the analysis

results = Analysis.RunAnalysisForAllNeurons(trial,cfgColl,0);
results{1}.plotResults;
results{2}.plotResults;
figure;
subplot(1,2,1); results{1}.lambda.plot;
subplot(1,2,2); results{2}.lambda.plot;
Analyzing Configuration #1: Neuron #1,2
Analyzing Configuration #2: Neuron #1,2

Compare the results across the two neurons

Summary = FitResSummary(results);
Summary.plotSummary;